Παράκαμψη προς το κυρίως περιεχόμενο
Εικόνα
08:27 | 24/01/2015

 

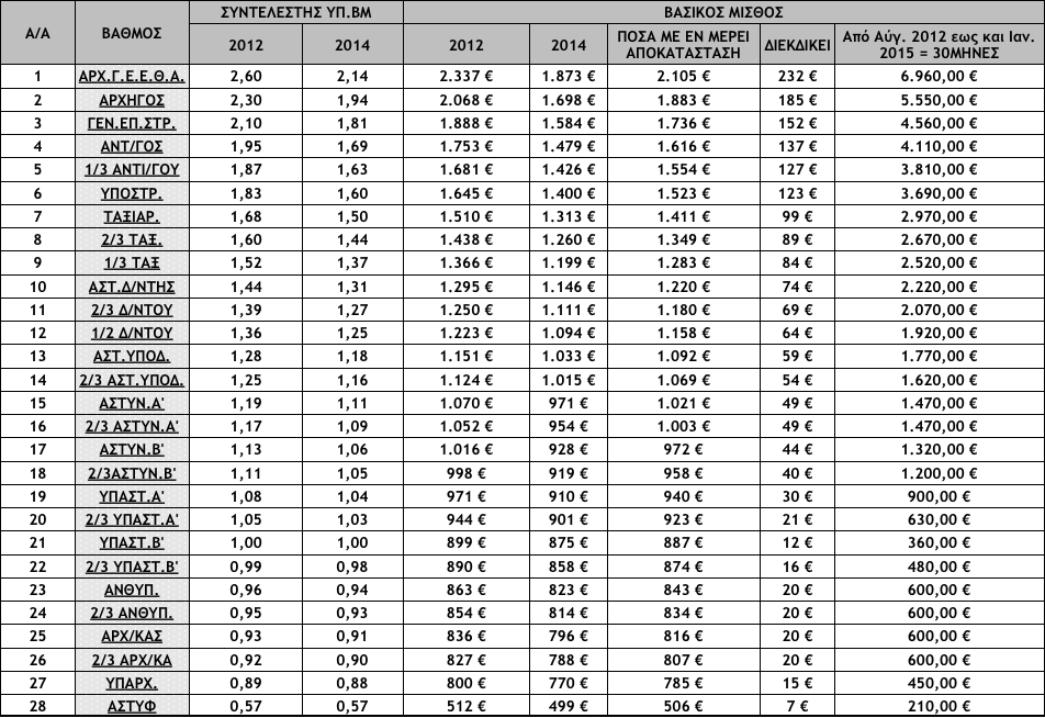
Σας παραθέτουμε αναλυτικό πίνακα των αναδρομικών (μεικτών) που δικαιούνται οι Aστυνομικοί υπάλληλοι και αξιωματικοί επί του βασικού μισθού του.
Πρέπει να τονιστεί ότι επί του ποσού αυτού πρέπει να προστεθεί η διαφορά  στο χρονοεπίδομα καθώς και στα λοιπά επιδόματα(εξομάλυνσης, επιτελικής ευθύνης, απασχόλησης κλπ) καθώς και πιθανές μισθολογικές μεταβολές.
Τα τελικά ποσά που δικαιούνται οι συνάδελφοι ενδέχεται να προσαυξάνουν μέχρι και 100 % το ποσό που έχουν λαμβάνει ως βασικό μισθό.
 
 
aspapolice.blogspot.gr
Policenet.gr © | 2025 Όροι Χρήσης.
developed by Pixelthis